As you get older vitamin d production in your skin becomes less. We believe that young is self determined and welcome all who are looking to connect with positive professionals.
Our skin color is determined by a pigment called melanin and while everyone has melanin both fair and dark skinned people it comes in different forms and ratios.
D melanin. Melanin is the primary determinant of skin pigmentation. Thats because darker skin has more melanin a compound that can inhibit vitamin d production. Stubbs when i first heard the news there would be a sonic the hedgehog movie i was skeptical.
Eumelanin comes in primarily brown and black hues while pheomelanin appears as red and yellow hues. Research has found that melanin may help protect the skin from uv rays. The more melanin you have in your skin the darker your skin color will be.
The majority of the experts in the field of vitamin d accept the assumption on the reverse correlation between the activity of the cutaneous pigmentary system and vitamin d production 1 15 18we agree with this opinion because the capability of melanin pigment to absorb uvb energy must attenuate the final dose of uvb energy reaching 7. Copper has a variety of positive effects on the skin. Age can have an impact as well.
When pigmentary system meets vitamin d. About sd melanin sd melanin was founded in 2017 and is dedicated to cultivating an inclusive community of young professionals via social events networking more. Melanin m l e n n.
Copper one of the nine minerals considered essential for human nutrition. March 11 2020 april 1 2020 melanin squared written and edited by. However my nostalgia love of jim carrey and sonics before and after photo convinced me to spend my hard earned money on a childrens movie.
Several nutrients can help support your bodys production of melanin. Melas melas black dark is a broad term for a group of natural pigments found in most organismsmelanin is produced through a multistage chemical process known as melanogenesis where the oxidation of the amino acid tyrosine is followed by polymerizationthe melanin pigments are produced in a specialized group of cells known as melanocytes. It is an anthem that expresses a sure sense of self despite the obstacles melanated people have faced and.
The two forms of melanin are called eumelanin and pheomelanin. It occurs in both humans and animals and is what makes hair skin and eyes appear darker. In particular it helps produce collagen elastin and melanin.
The amount of melanin in your skin also determines your bodys capacity to produce vitamin d an essential nutrient from ultraviolet light exposure. These include in addition to vitamin d vitamin b9 and vitamin b12. Melanin is a skin pigment.
Melanin is an ode to the 70s era when black self love was prevalent and encouraged.
Mic D Melanin Podcast Home Facebook
Vitamin D Insufficiency A Surprising Trend In Athletic Adults
Get Waist D By The Melanin Queen Home Facebook
Figure 2 From Effect Of Saucerneol D On Melanin Production In Camp
Legalize Melanin D Iphone Skin By Madisynmahagoni Society6
Melanin Feat D Fresh By Kwateed On Amazon Music Amazon Com
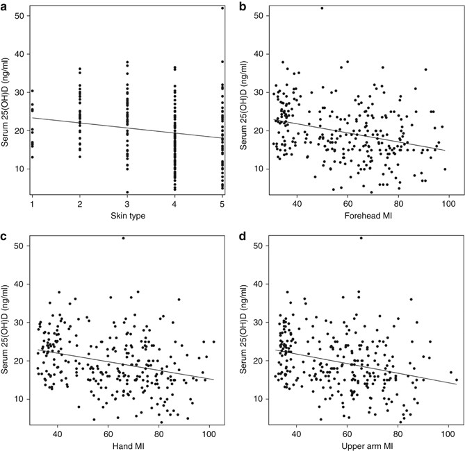
Utility Of Sun Reactive Skin Typing And Melanin Index For
Melanin Production By D Septosporum In Culture Download Table
Melanin Poppin African Cool Melanin Gift Melanin Affiche Et
Melanin A Key To Freedom Richard King Shades Of Afrika Online
Terminal D Tyrosine Containing Pentapeptide 18 Decreases Melanin
Japanese Beauty Liquid D Rin K Blocking Melanin White Skin
Chocolate Kisses Illustration Drawing Art Artist
Anatomy Have Biology Of Skin Color Out With Your Answers Ppt
Melanin In Space Hopkins Bloomberg Public Health Magazine
Buy Absolute Melanin Natural Food Supplement D Lab
High Melanin Binders Propranolol C And Chloroquine D Show High
Figure 3 From Effect Of Saucerneol D On Melanin Production In Camp
3 Ways To Increase Melanin Production Wikihow
Excellent, if you are looking for picture and video information related to d melanin, you have come to visit the right website. Our website will give you information on d melanin images of the highest quality, search and find the content as well as more innovative and attractive images that suit your taste. d melanin images was selected from one of thousands of image collections from various Search Engine sources, especially Google and Bing, so we recommends this d melanin page for you to see. You can also contribute to supporting this website by sharing images that you like on this blog on your social media accounts such as Facebook, Pinterest, and Instagram or tell your closest friends share your experiences about the ease of access to downloads and information you get on this website .
If you find this site useful to support us by sharing this website's article posts to your favorite social media accounts like Facebook, Instagram and so on or you can also mark this blog page with the title d melanin by using Ctrl + D for devices a laptop with a Windows operating system or Command + D for laptops with an Apple operating system.

Comments
Post a Comment